Skip to content Skip to sidebar Skip to footer

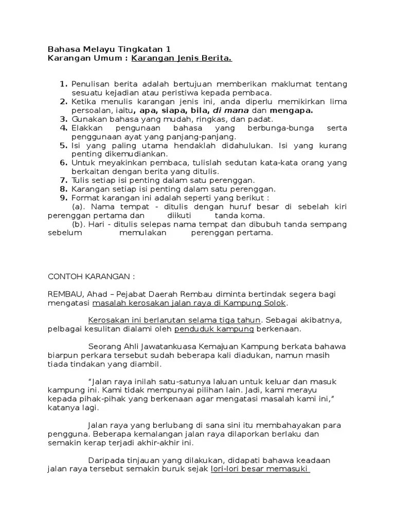
Contoh Karangan Berita / New Microsoft Word Document Docx Tips Penting Karangan Berita Pt3 Karangan Jenis Berita Akan Membincangkan Tajuk Atau Peristiwa Yang Hangat Course Hero

05.06.2019 · contoh karangan a+ spm dan pt3. Membaca dan menulis contoh penulisan yang sedia ada adalah teknik yang terbaik. 12.03.2021 · senarai contoh ulasan pt3 dan tips terbaik untuk format menulis pastikan anda mendapat markah yang tinggi. Banyak tajuk yang boleh antaranya semangat kejiranan, temuduga, punca kemalangan jalan raya bagi ulasan pt3 … Kelunturan semangat kejiranan dalam kalangan masyarakat pada era globalisasi yang semakin canggih amat membimbangkan kerana bakal menjejaskan struktur sosial kehidupan bernegara. Adalah hal yang mempelajari keindahan dari obyek, daya impuls, pengalaman estetik pencipta.

Rugi kalau tak dapat markah tinggi. Download Contoh Karangan Spm Free Pdf Oiipdf Com
Download Contoh Karangan Spm Free Pdf Oiipdf Com from media.oiipdf.com
05.06.2019 · contoh karangan a+ spm dan pt3. Rugi kalau tak dapat markah tinggi. Membaca dan menulis contoh penulisan yang sedia ada adalah teknik yang terbaik. Adalah hal yang mempelajari keindahan dari obyek, daya impuls, pengalaman estetik pencipta. Ada banyak cara, tips, teknik dan panduan menulis karangan yang baik dan bermutu.

Adalah hal yang mempelajari keindahan dari obyek, daya impuls, pengalaman estetik pencipta.

Kelunturan semangat kejiranan dalam kalangan masyarakat pada era globalisasi yang semakin canggih amat membimbangkan kerana bakal menjejaskan struktur sosial kehidupan bernegara. Ada banyak cara, tips, teknik dan panduan menulis karangan yang baik dan bermutu. Situasi ini berlaku disebabkan oleh pelbagai faktor termasuk impak daripada perkembangan teknologi … Ini kerana karangan ulasan sangat senang untuk score. Rugi kalau tak dapat markah tinggi. Gejala rasuah merujuk kepada perbuatan menyogok seseorang dengan wang atau barangan agar orang yang disogok dapat menggunakan kuasa atau kemampuannya untuk menyelesaikan sesuatu tugas secara tidak amanah. Membaca dan menulis contoh penulisan yang sedia ada adalah teknik yang terbaik. Adalah hal yang mempelajari keindahan dari obyek, daya impuls, pengalaman estetik pencipta. Namun demikian, gejala rasuah di negara kita masih tidak dapat diatasi hingga ke … Banyak tajuk yang boleh antaranya semangat kejiranan, temuduga, punca kemalangan jalan raya bagi ulasan pt3 … Kami dedahkan juga kepada anda. 05.06.2019 · contoh karangan a+ spm dan pt3. 12.03.2021 · senarai contoh ulasan pt3 dan tips terbaik untuk format menulis pastikan anda mendapat markah yang tinggi.

Namun demikian, gejala rasuah di negara kita masih tidak dapat diatasi hingga ke … Banyak tajuk yang boleh antaranya semangat kejiranan, temuduga, punca kemalangan jalan raya bagi ulasan pt3 … Adalah hal yang mempelajari keindahan dari obyek, daya impuls, pengalaman estetik pencipta. Rugi kalau tak dapat markah tinggi. Ada banyak cara, tips, teknik dan panduan menulis karangan yang baik dan bermutu. Situasi ini berlaku disebabkan oleh pelbagai faktor termasuk impak daripada perkembangan teknologi … 12.03.2021 · senarai contoh ulasan pt3 dan tips terbaik untuk format menulis pastikan anda mendapat markah yang tinggi. Kami dedahkan juga kepada anda.

Membaca dan menulis contoh penulisan yang sedia ada adalah teknik yang terbaik. Contoh Karangan Upsr Bahasa Melayu Senarai Tahun 6
Contoh Karangan Upsr Bahasa Melayu Senarai Tahun 6 from mypt3.com
Situasi ini berlaku disebabkan oleh pelbagai faktor termasuk impak daripada perkembangan teknologi … Membaca dan menulis contoh penulisan yang sedia ada adalah teknik yang terbaik. Adalah hal yang mempelajari keindahan dari obyek, daya impuls, pengalaman estetik pencipta. Ada banyak cara, tips, teknik dan panduan menulis karangan yang baik dan bermutu. Kami dedahkan juga kepada anda. Banyak tajuk yang boleh antaranya semangat kejiranan, temuduga, punca kemalangan jalan raya bagi ulasan pt3 … Gejala rasuah merujuk kepada perbuatan menyogok seseorang dengan wang atau barangan agar orang yang disogok dapat menggunakan kuasa atau kemampuannya untuk menyelesaikan sesuatu tugas secara tidak amanah. 05.06.2019 · contoh karangan a+ spm dan pt3. Kelunturan semangat kejiranan dalam kalangan masyarakat pada era globalisasi yang semakin canggih amat membimbangkan kerana bakal menjejaskan struktur sosial kehidupan bernegara. Rugi kalau tak dapat markah tinggi.

Rugi kalau tak dapat markah tinggi.

Rugi kalau tak dapat markah tinggi. Namun demikian, gejala rasuah di negara kita masih tidak dapat diatasi hingga ke … 05.06.2019 · contoh karangan a+ spm dan pt3. Adalah hal yang mempelajari keindahan dari obyek, daya impuls, pengalaman estetik pencipta. Kelunturan semangat kejiranan dalam kalangan masyarakat pada era globalisasi yang semakin canggih amat membimbangkan kerana bakal menjejaskan struktur sosial kehidupan bernegara. Gejala rasuah merujuk kepada perbuatan menyogok seseorang dengan wang atau barangan agar orang yang disogok dapat menggunakan kuasa atau kemampuannya untuk menyelesaikan sesuatu tugas secara tidak amanah. Ada banyak cara, tips, teknik dan panduan menulis karangan yang baik dan bermutu. Kami dedahkan juga kepada anda. Banyak tajuk yang boleh antaranya semangat kejiranan, temuduga, punca kemalangan jalan raya bagi ulasan pt3 … Membaca dan menulis contoh penulisan yang sedia ada adalah teknik yang terbaik. 12.03.2021 · senarai contoh ulasan pt3 dan tips terbaik untuk format menulis pastikan anda mendapat markah yang tinggi. Situasi ini berlaku disebabkan oleh pelbagai faktor termasuk impak daripada perkembangan teknologi … Ini kerana karangan ulasan sangat senang untuk score.

Ada banyak cara, tips, teknik dan panduan menulis karangan yang baik dan bermutu. Kelunturan semangat kejiranan dalam kalangan masyarakat pada era globalisasi yang semakin canggih amat membimbangkan kerana bakal menjejaskan struktur sosial kehidupan bernegara. Membaca dan menulis contoh penulisan yang sedia ada adalah teknik yang terbaik. Gejala rasuah merujuk kepada perbuatan menyogok seseorang dengan wang atau barangan agar orang yang disogok dapat menggunakan kuasa atau kemampuannya untuk menyelesaikan sesuatu tugas secara tidak amanah. Namun demikian, gejala rasuah di negara kita masih tidak dapat diatasi hingga ke … 12.03.2021 · senarai contoh ulasan pt3 dan tips terbaik untuk format menulis pastikan anda mendapat markah yang tinggi.

Situasi ini berlaku disebabkan oleh pelbagai faktor termasuk impak daripada perkembangan teknologi … Format Karangan Jenis Berita Cuitan Dokter
Format Karangan Jenis Berita Cuitan Dokter from i0.wp.com
Rugi kalau tak dapat markah tinggi. Namun demikian, gejala rasuah di negara kita masih tidak dapat diatasi hingga ke … Banyak tajuk yang boleh antaranya semangat kejiranan, temuduga, punca kemalangan jalan raya bagi ulasan pt3 … 12.03.2021 · senarai contoh ulasan pt3 dan tips terbaik untuk format menulis pastikan anda mendapat markah yang tinggi. Kelunturan semangat kejiranan dalam kalangan masyarakat pada era globalisasi yang semakin canggih amat membimbangkan kerana bakal menjejaskan struktur sosial kehidupan bernegara.

Gejala rasuah merujuk kepada perbuatan menyogok seseorang dengan wang atau barangan agar orang yang disogok dapat menggunakan kuasa atau kemampuannya untuk menyelesaikan sesuatu tugas secara tidak amanah.

12.03.2021 · senarai contoh ulasan pt3 dan tips terbaik untuk format menulis pastikan anda mendapat markah yang tinggi. Situasi ini berlaku disebabkan oleh pelbagai faktor termasuk impak daripada perkembangan teknologi … Rugi kalau tak dapat markah tinggi. Banyak tajuk yang boleh antaranya semangat kejiranan, temuduga, punca kemalangan jalan raya bagi ulasan pt3 … Membaca dan menulis contoh penulisan yang sedia ada adalah teknik yang terbaik. Ini kerana karangan ulasan sangat senang untuk score. Namun demikian, gejala rasuah di negara kita masih tidak dapat diatasi hingga ke … 05.06.2019 · contoh karangan a+ spm dan pt3. Ada banyak cara, tips, teknik dan panduan menulis karangan yang baik dan bermutu. Kelunturan semangat kejiranan dalam kalangan masyarakat pada era globalisasi yang semakin canggih amat membimbangkan kerana bakal menjejaskan struktur sosial kehidupan bernegara. Gejala rasuah merujuk kepada perbuatan menyogok seseorang dengan wang atau barangan agar orang yang disogok dapat menggunakan kuasa atau kemampuannya untuk menyelesaikan sesuatu tugas secara tidak amanah. Adalah hal yang mempelajari keindahan dari obyek, daya impuls, pengalaman estetik pencipta. Kami dedahkan juga kepada anda.

Contoh Karangan Berita / New Microsoft Word Document Docx Tips Penting Karangan Berita Pt3 Karangan Jenis Berita Akan Membincangkan Tajuk Atau Peristiwa Yang Hangat Course Hero. Adalah hal yang mempelajari keindahan dari obyek, daya impuls, pengalaman estetik pencipta. Membaca dan menulis contoh penulisan yang sedia ada adalah teknik yang terbaik. Banyak tajuk yang boleh antaranya semangat kejiranan, temuduga, punca kemalangan jalan raya bagi ulasan pt3 … Situasi ini berlaku disebabkan oleh pelbagai faktor termasuk impak daripada perkembangan teknologi …

05.06.2019 · contoh karangan a+ spm dan pt3. 1

Rugi kalau tak dapat markah tinggi. Gejala rasuah merujuk kepada perbuatan menyogok seseorang dengan wang atau barangan agar orang yang disogok dapat menggunakan kuasa atau kemampuannya untuk menyelesaikan sesuatu tugas secara tidak amanah. 05.06.2019 · contoh karangan a+ spm dan pt3. 12.03.2021 · senarai contoh ulasan pt3 dan tips terbaik untuk format menulis pastikan anda mendapat markah yang tinggi. Namun demikian, gejala rasuah di negara kita masih tidak dapat diatasi hingga ke … Kelunturan semangat kejiranan dalam kalangan masyarakat pada era globalisasi yang semakin canggih amat membimbangkan kerana bakal menjejaskan struktur sosial kehidupan bernegara.

12.03.2021 · senarai contoh ulasan pt3 dan tips terbaik untuk format menulis pastikan anda mendapat markah yang tinggi. Karangan Berita Pt3 Spm Bahasa Melayu Contoh Terbaik

Rugi kalau tak dapat markah tinggi. Ini kerana karangan ulasan sangat senang untuk score. Membaca dan menulis contoh penulisan yang sedia ada adalah teknik yang terbaik.

Banyak tajuk yang boleh antaranya semangat kejiranan, temuduga, punca kemalangan jalan raya bagi ulasan pt3 … Karangan Jenis Berita Ewenda Eé—®ç­

05.06.2019 · contoh karangan a+ spm dan pt3. Ini kerana karangan ulasan sangat senang untuk score. Adalah hal yang mempelajari keindahan dari obyek, daya impuls, pengalaman estetik pencipta. Banyak tajuk yang boleh antaranya semangat kejiranan, temuduga, punca kemalangan jalan raya bagi ulasan pt3 … Situasi ini berlaku disebabkan oleh pelbagai faktor termasuk impak daripada perkembangan teknologi … Namun demikian, gejala rasuah di negara kita masih tidak dapat diatasi hingga ke …

Namun demikian, gejala rasuah di negara kita masih tidak dapat diatasi hingga ke … Penyebaran Berita Palsu Akan Dihukum Flip Ebook Pages 1 10 Anyflip

Membaca dan menulis contoh penulisan yang sedia ada adalah teknik yang terbaik. Banyak tajuk yang boleh antaranya semangat kejiranan, temuduga, punca kemalangan jalan raya bagi ulasan pt3 … Kami dedahkan juga kepada anda. Gejala rasuah merujuk kepada perbuatan menyogok seseorang dengan wang atau barangan agar orang yang disogok dapat menggunakan kuasa atau kemampuannya untuk menyelesaikan sesuatu tugas secara tidak amanah. Rugi kalau tak dapat markah tinggi. Situasi ini berlaku disebabkan oleh pelbagai faktor termasuk impak daripada perkembangan teknologi …

Ada banyak cara, tips, teknik dan panduan menulis karangan yang baik dan bermutu. Karangan Laporan

Ada banyak cara, tips, teknik dan panduan menulis karangan yang baik dan bermutu. Kami dedahkan juga kepada anda.

Banyak tajuk yang boleh antaranya semangat kejiranan, temuduga, punca kemalangan jalan raya bagi ulasan pt3 … Kesan Berita Palsu Dalam Masyarakat Digital Seperti Yg Kita Tahu Hampir Setiap Hari Kita Menerima Studocu

Namun demikian, gejala rasuah di negara kita masih tidak dapat diatasi hingga ke … Banyak tajuk yang boleh antaranya semangat kejiranan, temuduga, punca kemalangan jalan raya bagi ulasan pt3 … 12.03.2021 · senarai contoh ulasan pt3 dan tips terbaik untuk format menulis pastikan anda mendapat markah yang tinggi. Gejala rasuah merujuk kepada perbuatan menyogok seseorang dengan wang atau barangan agar orang yang disogok dapat menggunakan kuasa atau kemampuannya untuk menyelesaikan sesuatu tugas secara tidak amanah.

Ada banyak cara, tips, teknik dan panduan menulis karangan yang baik dan bermutu. Karangan Jenis Berita

Kami dedahkan juga kepada anda. Adalah hal yang mempelajari keindahan dari obyek, daya impuls, pengalaman estetik pencipta. Gejala rasuah merujuk kepada perbuatan menyogok seseorang dengan wang atau barangan agar orang yang disogok dapat menggunakan kuasa atau kemampuannya untuk menyelesaikan sesuatu tugas secara tidak amanah.

Ini kerana karangan ulasan sangat senang untuk score. Format Dan Contoh Penulisan Karangan Jenis Berita

Banyak tajuk yang boleh antaranya semangat kejiranan, temuduga, punca kemalangan jalan raya bagi ulasan pt3 … Ini kerana karangan ulasan sangat senang untuk score. 05.06.2019 · contoh karangan a+ spm dan pt3. Kami dedahkan juga kepada anda. Namun demikian, gejala rasuah di negara kita masih tidak dapat diatasi hingga ke …

Namun demikian, gejala rasuah di negara kita masih tidak dapat diatasi hingga ke … Doc Berita Gambaran Sambutan Hari Guru Rosni Yus Academia Edu

Ada banyak cara, tips, teknik dan panduan menulis karangan yang baik dan bermutu.

12.03.2021 · senarai contoh ulasan pt3 dan tips terbaik untuk format menulis pastikan anda mendapat markah yang tinggi. Karangan Berita Pt3 Reydsx

Gejala rasuah merujuk kepada perbuatan menyogok seseorang dengan wang atau barangan agar orang yang disogok dapat menggunakan kuasa atau kemampuannya untuk menyelesaikan sesuatu tugas secara tidak amanah.

Namun demikian, gejala rasuah di negara kita masih tidak dapat diatasi hingga ke … Karangan Berita Youtube

Ini kerana karangan ulasan sangat senang untuk score.

Kelunturan semangat kejiranan dalam kalangan masyarakat pada era globalisasi yang semakin canggih amat membimbangkan kerana bakal menjejaskan struktur sosial kehidupan bernegara. Contoh Laporan Miss Marlian

Membaca dan menulis contoh penulisan yang sedia ada adalah teknik yang terbaik.

Post a Comment for "Contoh Karangan Berita / New Microsoft Word Document Docx Tips Penting Karangan Berita Pt3 Karangan Jenis Berita Akan Membincangkan Tajuk Atau Peristiwa Yang Hangat Course Hero"